Close Menu
Fakta BangsaFakta Bangsa
  • News
  • Nusaraya
    • Jawa Barat
    • Jawa Tengah
    • Jawa Timur
  • Cahaya
  • Techno
  • Otomotif
  • Bola
  • Lifestyle
  • Tren
  • Lestari
  • Health
  • Redaksi
  • News
What's Hot

SIDANG TERBUKA SENAT AKADEMIK UNIVERSITAS WIRALODRA PENGUKUHAN GURU BESAR DAN ORASI ILMIAH

SENAM BERSAMA DI TAMAN ASPIRASI RAKYAT INDRAMAYU SETIAP MINGGU PAGI

Keluarga Asep Berharap Polres Indramayu Mampu Ungkap Kematian Anaknya Seperti Polisi Ungkap Kasus Kematian Lainnya

Facebook X (Twitter) Instagram
Fakta BangsaFakta Bangsa
Berlanggan
Login
  • News
  • Nusaraya
    • Jawa Barat
    • Jawa Tengah
    • Jawa Timur
  • Cahaya
  • Techno
  • Otomotif
  • Bola
  • Lifestyle
  • Tren
  • Lestari
  • Health
  • Redaksi
  • News
Fakta BangsaFakta Bangsa
You are at:Beranda » BKAD Kabupaten Indramayu Awal Lelang Sewa Garapan Tanah Eks Bengkok di Tahun 2025
Daerah

BKAD Kabupaten Indramayu Awal Lelang Sewa Garapan Tanah Eks Bengkok di Tahun 2025

RedaksiBy RedaksiNovember 24, 20250172 Mins Read
Share Facebook Twitter WhatsApp Telegram Email Copy Link
Share
Facebook Twitter WhatsApp Email Telegram Copy Link

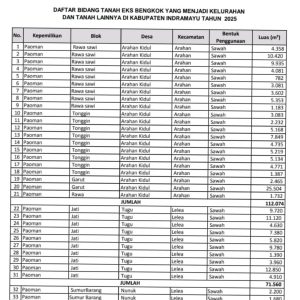
Fakta Bangsa. Com Indramayu – Badan Keuangan Anggaran Daerah ( BKAD) Kabupaten Indramayu Di Tahun 2025 Membuka Jadwal Lelang sewa garapan Tanah Eks Bengkok, desa yang menjadi kelurahan dan tanah lainnya milik Pemerintah Kabupaten Indramayu tertera melalui pengumuman lelang dengan Nomor: 00.2.4/2146.a/BMD Sabtu, (22/11/2025).

Pada lelang tersebut ditujukan bagi mereka yang berniat menggarap tanah eks bengkok desa yang kini menjadi kelurahan beserta tanah lainnya.

Kepala BKAD Indramayu, H.Yus Rusmadi,S.E.,M.A.K melalui Kepala Bidang Barang Milik Daerah, Kamsari menjelaskan ada beberapa syarat yang mesti dipenuhi untuk calon peserta lelang.

Seperti lelang yang dilaksanakan pada tahun-tahun lalu, ada syarat yang harus terpenuhi “Pertama peserta diwajibkan untuk membuka rekening jaminan di Bank BJB Indramayu dan menyetorkan uang jaminan yang akan diblokir sebesar 50% dari nilai penawaran,” terang Kamsari kepada media.

Tambah,Kamsari jika peserta lelang yang mengundurkan diri setelah ditetapkan sebagai pemenang, maka tidak bisa diambil kembali uang jaminan yang telah disetorkan.

Namun menurutnya,hal tersebut tidak berlaku buat mereka yang gugur atau tidak menang lelang. Maka bagi mereka uang jaminan bisa diambil kembali.

“Silakan dilihat dulu lokasi tanah yang akan disewa sebelum mengikuti lelang,” anjur Kamsari.

IMG 20251122 085937Oplus_131072
Langkah selanjutnya yaitu melihat lokasi tanah yang bakal dilelangkan, maka para peserta lelang harus bersedia menerima kondisi yang dilelangkan apa adanya.

Untuk melihat daftar tanah yang dilelangkan, calon peserta bisa melihatnya di kantor BKD Indramayu di Jalan RA Kartini Nomor 15-17 atau di situs BKAD.indramayukab.go.id.

“Yang terakhir, peserta lelang tidak akan menggugat atas kurang dan lebihnya luasan tanah dan hal-hal lain yang terdapat di lokasi,” ujarnya.

Kamsari, mengatakan buat para calon peserta lelang bisa doumen pemilihan, pendaftaran dan penyetoran jaminan di kantor BKAD. Kemudian ia mempersilakan untuk menyetorkan uang jaminan di Bank BJB Indramayu.

“Kami tunggu dari tanggal 21 Nofember 2025 dan 22 Nofember 2025 untuk ikuti leleng/ tender. Dan ditanggal 24 sampai dengan 28 Nofember 2025 pengambilan dokumen lelang/tender hingga akhir lelang pada tanggal 1 Desember 2025,” katanya.

Pada Lelang tahun ini akan dilaksanakan pada 1 Desember 2025, terdapat paling sedikit tiga orang peserta lelang. Jika peserta dinyatakan menang, maka wajib melunasi sisa pembayaran dalam waktu 5 hari kerja setelah lelang
(Maulana) .

Share. Facebook Twitter Email Telegram WhatsApp Copy Link
Previous ArticlePolres Bangka Gelar Apel Operasi Zebra, 2025 Kedepankan Sosialisasi dan Edukasi Kepada Masyarakat
Next Article Diindikasi Rugikan Uang Negara, Kejaksaan Didesak Periksa 2 Proyek Jalan Dinas PUPR Indramayu
Redaksi
  • Website

Related Posts

PKS INDRAMAYU MENGGELAR RAPAT KERJA DAERAH ( RAKERDA ) TARGET PENGUATAN KADER DAN 6 KURSI DI DPRD

Desember 17, 2025

BUNKASAI Tutup Tahun 2025 LPK KAINA Indonesia Meledak, Padukan Budaya Nusantara dan Jepang

Desember 17, 2025

Pemerintah Kabupaten Indramayu akan menyelenggarakan KEJUARAAN TARKAM (ANTAR KAMPUNG ) KEMENPORA, ALUN-ALUN INDRAMAYU 13-14 DESEMBER 2025

Desember 11, 2025
Demo
Top Posts

HUT SAYU ke-40 & Reuni Akbar SMAN 1 Indramayu, “Life Begins at Fourty” Penuh Kebersamaan dan Kepedulian Sosial

Desember 27, 202577

Mayat Mengambang Di Sungai Cipelang

Desember 30, 202566

Waduh, Poster “Tangkap Syaefudin” Ramai Muncul di Area Kejati Jabar, Kalimat “Korupsi” Jadi Sorotan

Desember 27, 202551
Stay In Touch
  • Facebook
  • YouTube
  • TikTok
  • WhatsApp
  • Twitter
  • Instagram
Latest Reviews
Demo
Most Popular

HUT SAYU ke-40 & Reuni Akbar SMAN 1 Indramayu, “Life Begins at Fourty” Penuh Kebersamaan dan Kepedulian Sosial

Desember 27, 202577

Mayat Mengambang Di Sungai Cipelang

Desember 30, 202566

Waduh, Poster “Tangkap Syaefudin” Ramai Muncul di Area Kejati Jabar, Kalimat “Korupsi” Jadi Sorotan

Desember 27, 202551
Our Picks

SIDANG TERBUKA SENAT AKADEMIK UNIVERSITAS WIRALODRA PENGUKUHAN GURU BESAR DAN ORASI ILMIAH

SENAM BERSAMA DI TAMAN ASPIRASI RAKYAT INDRAMAYU SETIAP MINGGU PAGI

Keluarga Asep Berharap Polres Indramayu Mampu Ungkap Kematian Anaknya Seperti Polisi Ungkap Kasus Kematian Lainnya

© 2026 Fakta Bangsa. All right Reserved
  • News
  • Trending
  • Video
  • Redaksi

Type above and press Enter to search. Press Esc to cancel.

Sign In or Register

Welcome Back!

Login to your account below.

Lost password?